
12月17日,我国第一台具有自主知识产权的探测大气温室气体二氧化碳时空分布的激光雷达系统——中科院重点装备“二氧化碳拉曼激光雷达”通过验收,这表明我国成功跻身为数不多的掌握二氧化碳垂直分布监测手段的国家之一。目前承研单位中科院安徽光机所大气光学中心已将该系统投入使用,用于安徽省合肥地区大气二氧化碳垂直分布的常规测量。
近几十年来,由于人类活动导致大气中温室气体和污染气体的浓度急剧增加,温室气体的大量增加对全球气候的改变产生重要影响,二氧化碳则是气候变化预测中非常重要的大气温室气体。研究表明,大气中二氧化碳的浓度是逐年增加的,但是,大气中增加的二氧化碳只是人类和自然净排放的三分之二,还有约三分之一的二氧化碳不知去向,科学家们极力想解开这一谜题但是缺乏有效手段。现今二氧化碳垂直分布探测的方法非常少,气球探空、飞机和火箭等采集测量方法使用麻烦、费用巨大,难以成为常规测量方法。因此,全球二氧化碳测量数据除了地面数据以外,空中分布数据少得可怜,至今我国都还没有二氧化碳空间分布的数据。我国现又处于经济快速发展时期,二氧化碳排放逐年增加,面对严峻国际压力,政府为加强减排力度把“监测气候变化的过程和要素”等气候变化监测预测预警作为应对气候变化专项行动的重点任务之一,计划在“十二五”期间开展有关碳收支和碳循环的研究,其中二氧化碳空间分布的精确探测是其主要研究内容。
一般激光雷达测量大气二氧化碳基于两种方法——差分吸收激光雷达技术和拉曼激光雷达技术。差分吸收激光雷达法测量精度高、技术复杂难度大、成本高。美、日、欧洲已有二氧化碳差分吸收激光雷达,但是技术尚未成熟,很难满足1~2%的二氧化碳探测精度需求。反之,拉曼激光雷达技术难度不是很大,成本较低、精度相对较低,国际上研制二氧化碳拉曼激光雷达还很少,据查只有美国国家航空航天局David N. Whiteman博士利用拉曼激光雷达测量1~5km的大气二氧化碳的廓线,估计3小时积分在1~3km精度优于1ppm,3~5km高度范围内精度优于2ppm。但其测量系统本身没有办法标定。

ARL-1型二氧化碳拉曼激光雷达系统
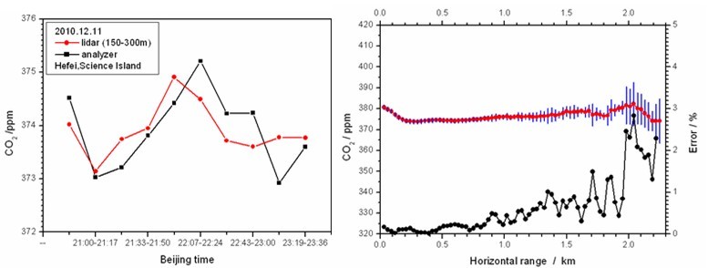
相关对比数据表明,中科院安徽光机所研制的“二氧化碳拉曼激光雷达”与二氧化碳分析仪观测结果表明具有很好的一致性,其探测范围水平方向大于2km,垂直方向大于3km,探测分辨率30米,探测精度在1km范围内优于1%,在3km范围内优于3%,成功实现了在水平、斜程和垂直多个方向探测大气二氧化碳浓度的距离分布,填补了我国大气二氧化碳空间分布探测技术的空白,将来不但可用于大气二氧化碳垂直分布的探测,还可用于大面积的近地面大气二氧化碳水平分布以及二氧化碳排放源的监测和大气二氧化碳源与汇的测量研究。验收现场测试显示系统各项指标均符合或部分超过了实施方案的设计指标,因此,中科院计划财务局委派的验收专家组一致表决通过该项目验收。

2010年12月11日晚20:42-23:36探测的水平方向二氧化碳平均浓度及探测相对误差分布

2010年12月7日晚19:15-22:11探测的垂直方向二氧化碳平均浓度及探测相对误差分布

2010年12月5日和6日晚拉曼激光雷达观测的水平方向二氧化碳浓度时间变化