安光所FTIR团队在红外光谱遥感分析方法领域取得重要进展
时间:2025-08-22 作者:秦玉胜
近日,中国科学院安光所FTIR团队在红外光谱遥感分析领域取得重要进展。相关研究成果以《基于可变分解层双树复小波变换的大气污染红外光谱定量分析》为题发表于一区TOP期刊Analytical Chemistry。
主动式红外光学遥感技术,可以实现开放路径多组分痕量气体远距离实时监测。然而,由于开放路径光程中无法避免水汽吸收等因子的交叉干扰,且大气温湿度波动、气溶胶散射和光程扰动等诸多因素均会导致背景光谱的非稳态变化,影响红外光谱定量分析的准确度。因此,如何在动态开放环境中获取稳定而精确的背景光谱,成为制约主动式红外光学遥感技术在高精度测量领域广泛应用的关键性难题。
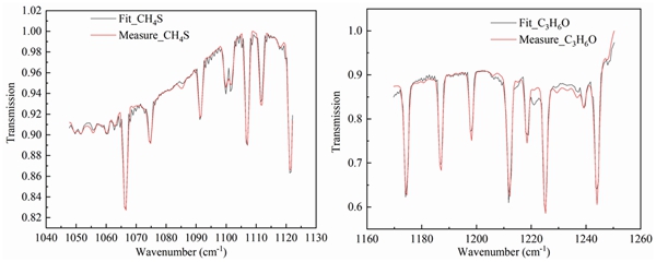
研究团队提出了一种新方法,将可变分解层双树复小波变换(VDL-DTCWT)与非线性最小二乘拟合(NLLS)结合起来进行一体化检索方法。该方法一方面利用VDL-DTCWT在不同波段自适应重构背景,稳健提取多尺度、非稳态特征的背景信号;另一方面在NLLS前向模型中,将水汽等常见交叉干扰组分与目标污染物同时作为独立吸收组分,建模并联合求解,有效避免了组分吸收信号之间的串扰。实验证明,该方法在减少背景干扰和降低污染物浓度反演误差方面均取得了显著效果,大幅提升了主动式光学遥感在复杂环境下的测量精度与准确度。该研究为开放路径条件下的红外光谱定量分析提供了新的解决思路,也为相关光学遥感技术在复杂环境中的高精度测量提供了重要参考,解决了红外光谱分析领域无法获取稳定背景光谱的前沿技术难题。
秦玉胜博士后为论文第一作者,李相贤研究员为论文通讯作者。本研究获得了国家重点研发计划青年科学家项目(2024YFC3714000)的资助支持。
论文链接:https://doi.org/10.1021/acs.analchem.5c03806

基于VDL-DTCWT的背景光谱实时合成框架
典型污染光谱拟合结果