中俄大气光学联合研究中心在卷云特性研究方面取得新进展
时间:2021-02-01 作者:王珍珠
近期,由中科院合肥研究院安徽光机所大气光学中心和俄罗斯科学院大气光学所联合共建的中俄大气光学联合研究中心在卷云特性研究方面取得新进展。其研究结果发表在美国光学学会(OSA)下OPTICS EXPRESS上。
卷云,主要由冰晶构成,它是大气的重要组成部分,深刻影响着地气系统的辐射收支。到目前为止,人们对冰晶的微观物理特性(即大小和形状)及其数密度知之甚少,因为它们在时间和空间上变化很大,而且探测困难。而这些特性又是新一代气候模型的迫切需要的。
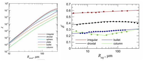
同时测量从同一卷云返回的激光雷达和微波雷达信号是解密云微物理特性的一种前瞻性方法。在本项研究中,中俄双方科学家首次计算并分析了典型的冰晶形状和冰晶大小分布的激光雷达和微波雷达后向散射信号的比。结果表明激光雷达-微波雷达比对晶体尺寸最敏感,而激光雷达退偏振比对晶体形状最敏感;他们是创建新算法的基础,可以据此推断出卷云中冰晶的大小和形状。
本项目由中科院青促会项目、基金委面上项目、安徽省杰青项目、中科院特别交流计划项目、中科院PIFI项目、安徽省重点研发计划项目等资助。
文章链接:https://doi.org/10.1364/OE.410942

卷云粒子激光-微波雷达比、退偏振比典型结果